Traditional Chinese herbal medicine retention enema combined with perineal massage (THREM): a promising therapeutic strategy for refractory chronic prostatitis/chronic pelvic pain syndrome (CP/CPPS)
Highlight box
Key findings
• The traditional Chinese herbal medicine retention enema combined with perineal massage (THREM) therapy can be an effective therapeutic strategy for refractory prostatitis/chronic pelvic pain syndrome (CP/CPPS), providing significant relief from symptoms and improving the patients’ quality of life for at least 6 months.
What is known and what is new?
• Refractory CP/CPPS, is characterized by the persistence of symptoms despite undergoing multiple treatments, including oral western drugs, traditional Chinese medicine (TCM), transrectal prostate massage, and urethral lavage, etc. This condition not only causes significant suffering for patients but also presents a formidable challenge for the doctors.
• In contrast to the conventional passive squeezing method, THREM therapy focuses on actively facilitating the expulsion of stagnant prostate fluid and inflammatory substances by utilizing perineal acupressure techniques, ultimately leading to ejaculation. Transrectal delivery techniques have resulted in more effective and targeted delivery of the eight herbal medicines, maximizing their therapeutic impact on inflammation associated with refractory CP/CPPS.
What is the implication, and what should change now?
• The promising results of THREM therapy contribute to our comprehension of the underlying mechanisms involved in refractory CP/CPPS. These findings not only expand our knowledge but also pave the way for future research, exploration, and potential integration of TCM techniques into conventional treatment strategies for CP/CPPS. This may ultimately result in potential modifications to treatment guidelines and recommendations, promoting a more comprehensive and individualized approach to managing this challenging disease.
Introduction
Chronic prostatitis/chronic pelvic pain syndrome (CP/CPPS) is a common disease of the male genitourinary system, which is mainly described by lower urinary tract symptoms (LUTS) and perineal pain or discomfort in the pelvic region lasting for more than three months (1). It may be accompanied by sexual dysfunction, which seriously affects the quality of life of these patients (2). Oral drug therapy remains the mainstay in the treatment for CP/CPPS, which mainly includes antibiotics, alpha-blockers and pain medications (3). However, the efficacy of oral medicines is unsatisfactory to cure CP/CPPS. The symptoms may be alleviated for a short time and recur over time, leading to prolonged disease course.
In order to improve the therapeutic effect, personalized and combination therapy are recommended by CP/CPPS guidelines (4), mainly including traditional Chinese medicine (TCM), radiofrequency therapy, urethral lavage, transrectal prostate massage, extracorporeal shock wave therapy, etc. In China, combined application of these therapies with oral medicine is often used, and has achieved a certain effect (5). However, a considerable number of patients do not respond well to all types of therapeutic methods. In this study, we defined those who had tried no less than three of the above-mentioned methods sequentially or simultaneously in addition to oral medicine for more than one year as refractory CP/CPPS patients (6). These patients were suffering from long-term physical and psychological burden due to the disease. We also examined some patients who claimed to have attempted suicide because of the symptoms of CP/CPPS. Their treatment was extremely difficult and challenging. Moreover, there is no significant progress in CP/CPPS treatment in recent studies.
Based on our prior clinical experience, the application of traditional Chinese herbal medicine retention enema combined with perineal massage (THREM) has yielded favorable outcomes in the management of CP/CPPS (7). In the present study, we conducted retrospective research to further evaluate the effectiveness of THREM therapy on the symptoms of patients who suffered from refractory CP/CPPS. We present this article in accordance with the STROBE reporting checklist (available at https://tau.amegroups.com/article/view/10.21037/tau-23-386/rc).
Methods
Patients
This study was conducted in accordance with the Declaration of Helsinki (as revised in 2013). This study was approved by the Ethics Committee of the Renji Hospital affiliated to Shanghai Jiao Tong University School of Medicine (approval number 2021103221). Informed consent was obtained from all individual participants. We conducted a retrospective study of all patients diagnosed with refractory CP/CPPS who underwent THREM therapy and successfully completed both the pre-treatment and 6-month post-treatment follow-up surveys at the Andrology Clinic of Renji Hospital in October and November 2022. Inclusion criteria were as follows: (I) patients who had received at least three treatments, in addition to oral medication, but had not experienced significant improvement for over 1 year; (II) patients who had received a standard treatment session of THREM; (III) patients who diligently completed both the pre-treatment and 6-month post-treatment follow-up surveys.
Exclusion criteria were as follows: (I) elderly patients >60 years old; (II) patients who suffered from benign prostatic hyperplasia (BPH) and/or prostatic cancer (PCa); (III) Patients who could not tolerate THREM therapy or cooperate with the researchers; (IV) Patients with uncontrolled hypertension, diabetes, mental diseases or any other serious underlying diseases; (V) patients who were unwilling to understand the study and accept THREM therapy.
General conditions
Height, weight, body mass index (BMI), disease course and previous medical treatment were recorded and analyzed.
Chinese herbs retention enema
The herbal formulae consisted of 8 herbs: Taraxacum mongolicum Hand.-Mazz, Salvia miltiorrhiza Bunge, Coptis chinensis Franch, Phellodendron chinense Schneid, Eriobotrya japonica Thunb, Sinapis alba L., Sparganium stoloni erum, Buch.-Ham., Corydalis yanhusuo (Table S1). To prepare the liquid medicine, the herbs were immersed for 3 h, simmered for 1 h, thickly fried and cooled, to obtain 120–150 mL herb liquor at the temperature of 42 ℃.
Prior to the administration of the retention enema, patients were instructed to void and have a bowel movement, followed by assuming a lateral position to expose the anus. A sterile infusion tube was used to deliver the herb liquor, and the entire process was completed within a timeframe of 5 minutes. To maximize the effects, the herb liquor was retained in the rectum for more than 4 hours.
Perineal massage
According to TCM, there are several special acupuncture points in perineum. Qichong is located just above the groin and 5 inches below the umbilicus (shown in Figure 1A). Chongmen is located laterally to the groin and 3.5 inches from the midpoint of the upper pubic joint (shown in Figure 1A). Huiyin is located at the depression between the anus and genital area (shown in Figure 1B).
It is believed that massaging these acupuncture points is helpful to improve the overall blood circulation and meridian movement in perineum. Except these acupuncture points, there are also several special reflex areas on the phallus (shown in Figure 2) (7). Massage stimulation to these areas will facilitate the unclogging and functioning of the corresponding organs.
The patient maintained a supine position and massaged the Qichong with the thumb for about 2 minutes, and massaged the punch hole with the thumb for about 2 minutes. Moreover, the perineum was massaged with the thumb for about 2 minutes.
Then the penile erection was aroused with the help of video stimulation. Patients who suffered from erectile dysfunction were recommended to take a tablet of sildenafil 1 hour before treatment. Procedures of perineal massage are described briefly as follows:
- Both laterals and dorsum of the phallus were massaged with the thumb for 30 seconds respectively;
- The penile frenulum was massaged with the thumb for about 30 seconds;
- The top of the glans was pressed gently with palm rotation for about 30 seconds;
- The procedures were repeated 4–5 times for about 20 minutes to accumulate ejaculation impulse;
- Thereafter, strong ejaculation impulse would lead to intense ejaculation.
Before 20 minutes, ejaculation was also allowed if the procedure was finished at least one time. If the procedure was not finished, we would stop the procedure temporarily and wait a while for the dissipation of the ejaculation impulse. And then the procedure would be continued. The treatment session would be given once a day, for one week continuously.
Objective evaluation of the efficacy
Before and 6 months after therapy, International Prostate Symptom Score (IPSS), visual analogue scale (VAS), and National Institutes of Health-Chronic Prostatitis Symptom Index (NIH-CPSI) quality of life (QoL) (NIH-CPSI QoL) score were recorded and used to evaluate the severity of LUTS and perineal pain, and the impacts of the CP/CPPS on the quality of the life, respectively. The higher the total scores, the more serious the condition.
The efficacy was judged by the changes between the values before and after therapy. The formula is shown below:
Subjective evaluation of the efficacy
In addition, degree of improvement in the major symptoms and subjective satisfaction of the patients 6 months after treatment were also recorded. To the degree of improvement, the score increased by <60% was defined as slight improvement, and ≥60% was significant improvement.
Statistical analysis
The observed data were analyzed by statistical software SPSS 17.0. The measurement data were analyzed by t-test, and the count data were analyzed by χ2 test. The difference was statistically significant at P<0.05.
Results
General characteristics
A cohort of 20 patients diagnosed with refractory CP/CPPS who underwent THREM therapy and diligently completed both the pre-treatment and 6-month post-treatment follow-up surveys were ultimately included in this study. The average age, height, weight and BMI were 38.05±4.84 years, 1.74±0.05 m, 72.93±5.30 kg, and 24.08±1.56 kg/m2. All patients suffered from CP/CPPS for at least one year and the mean course was 3.50±1.64 years, ranging from 1 to 5 years. All of the patients had previously received oral medicine and at least three other types of therapies, including TCM, extracorporeal radiofrequency hyperthermia, urethral lavage, extracorporeal shock wave therapy, and transcrectal prostate massage. Moreover, 13 patients had tried all six methods mentioned above. Meanwhile, four patients tried five methods and the other three patients tried four. All the patients had been given oral antibiotics, 95% of them had tried urethral perfusion and transcrectal prostate massage, 90% of them underwent oral TCM and radiofrequency therapy and 85% of them had received extracorporeal shock wave therapy (see Table 1).
Table 1
| No. | Course of CP/CPPS (years) | Age (years) | Height (m) | Weight (kg) | BMI (kg/m²) | Previous treatment† |
|---|---|---|---|---|---|---|
| 1 | 5 | 42 | 1.81 | 82.6 | 25.21 | All 6 methods |
| 2 | 3 | 35 | 1.74 | 76.6 | 25.30 | All 6 methods |
| 3 | 3 | 42 | 1.65 | 70.4 | 25.86 | All 6 methods |
| 4 | 3 | 34 | 1.81 | 75.0 | 22.89 | All 6 methods |
| 5 | 2 | 35 | 1.72 | 78.6 | 26.57 | 5 methods except extracorporeal shock wave therapy |
| 6 | 3 | 41 | 1.72 | 75.2 | 25.42 | All 6 methods |
| 7 | 3 | 42 | 1.69 | 63.4 | 22.20 | 4 methods except oral traditional Chinese medicine and extracorporeal radiofrequency hyperthermia |
| 8 | 1 | 34 | 1.76 | 65.8 | 21.24 | 4 methods except urethral lavage and extracorporeal shock wave therapy |
| 9 | 3 | 38 | 1.78 | 69.8 | 22.03 | All 6 methods |
| 10 | 3 | 35 | 1.67 | 64.4 | 23.09 | All 6 methods |
| 11 | 8 | 45 | 1.76 | 76.8 | 24.79 | All 6 methods |
| 12 | 3 | 35 | 1.75 | 70.2 | 22.92 | 4 methods except urethral lavage and extracorporeal radiofrequency hyperthermia |
| 13 | 2 | 35 | 1.67 | 70.4 | 25.24 | 5 methods except extracorporeal shock wave therapy |
| 14 | 2 | 32 | 1.8 | 72.6 | 22.41 | 5 methods except transrectal prostate massage |
| 15 | 4 | 42 | 1.66 | 70.6 | 25.62 | All 6 methods |
| 16 | 5 | 49 | 1.81 | 80.4 | 24.54 | All 6 methods |
| 17 | 5 | 42 | 1.73 | 74.0 | 24.73 | All 6 methods |
| 18 | 6 | 38 | 1.75 | 78.4 | 25.60 | All 6 methods |
| 19 | 2 | 35 | 1.77 | 70.5 | 22.50 | 5 methods except oral traditional Chinese medicine |
| 20 | 4 | 30 | 1.73 | 70 | 23.39 | All 6 methods |
†, including oral western medicine, oral traditional Chinese medicine, extracorporeal radiofrequency hyperthermia, urethral lavage, extracorporeal shock wave therapy, and transrectal prostate massage. CP/CPPS, chronic prostatitis/chronic pelvic pain syndrome; BMI, body mass index.
VAS pain scale
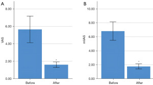
Perineal pain was evaluated by the change of VAS. Before the THREM therapy, the mean VAS was 5.65±3.25, and it decreased to 1.60±0.68 (P<0.01), by 57.75%±30.97%. Since four cases had no perineal pain symptom, the value was modified, and the modified VAS (mVAS) decreased from 6.81±2.48 to 1.75±0.68 (P<0.01), by 72.19%±10.15% (see Table 2, Figure 3A,3B).
Table 2
| Variables | Before therapy | After therapy | P value | Degree of improvement |
|---|---|---|---|---|
| VAS (n=20) | 5.65±3.25 | 1.60±0.68 | <0.01 | 57.75%±30.97% |
| Modified VAS (n=16) | 6.81±2.48 | 1.75±0.68 | <0.01 | 72.19%±10.15% |
| IPSS (n=20) | 13.95±7.41 | 5.70±4.84 | <0.01 | 54.13%±30.70% |
| Modified IPSS (n=18) | 15.50±5.99 | 6.33±4.68 | <0.01 | 60.14%±25.89% |
| QoL (n=20) | 10.10±1.77 | 3.00±1.75 | <0.01 | 71.11%±15.59% |
Data are presented as mean ± standard deviation. Since four cases had no perineal pain symptoms and two cases had no symptoms of lower urinary tract symptoms, the value was modified (IPSS & VAS). VAS, visual analogue scale; IPSS, International Prostate Symptom Score; QoL, quality of life.
IPSS
IPSS was used in the study to evaluate the efficacy of THREM therapy for relieving the LUTS. The mean IPSS value decreased from 13.95±7.41 to 5.70±4.84 (P<0.01), by 54.13%±30.70%. After removing two cases that had no symptom of LUTS, the modified IPSS (mIPSS) was 15.50±5.99 before therapy and 6.33±4.68 six months after therapy (P<0.01), decreasing by 60.14%±25.89% (see Table 2, Figure 4A,4B).
NIH-CPSI QoL score
CPSI QoL score reflects the influence of CP/CPSS for the life of the patients. In this study, the value was 10.10±1.77 before THREM therapy and after six months, the value decreased to 3.00±1.75 (P<0.01). The mean degree of improvement was 71.11%±15.95% (see Table 2, Figure 5).
Degree of improvement in subjective symptoms
Six months after THREM therapy, 17 of the 20 patients had an alleviation of ≥60% and the average degree of alleviation reached 70.25%±24.20%. Only two patients felt slight improvement of the symptoms (10% and 30% improvement respectively) and one patient felt no improvement. All of the other patients were satisfied with the outcome.
Discussion
According to NIH classification, CP/CPPS belongs to type III prostatitis, namely nonbacterial prostatitis. However, oral medicines, especially antibiotics, are the most important therapeutic regimens to date, although clear evidence based on bacterial culture may not be available (8).
The use of antibiotics has always been a controversial topic. Some researchers thought it might only have a limited effect (8). Others believed that type III prostatitis might develop through immune induction due to minor and undetectable bacterial infection (9). Antibiotics (mainly quinolones) reduce prostatitis symptoms compared to placebo, and are probably not associated with an increased incidence in adverse events (8).
Moreover, there are several limitations of antibiotic usage. Long-term use of antibiotics may induce bacterial resistance (10). In addition, due to the obstruction of the tubes caused by inflammation, the pathogens hide in the gland tissue, which makes it difficult for antibiotics to enter the glands and play a role (11). Even if the antibiotics work, inflammation would recur after drug withdrawal due to the residual bacteria (12).
Thus, the biggest challenge for treating CP/CPPS is the complexity of the internal glandular tubes in the prostate (13). Once inflammation occurs, edema of the tissue will further block the tubes, making it harder for antibiotics to enter the gland and kill the pathogens (14) and hindering drainage of inflammatory substances (15). Furthermore, it is observed that medicines tend to be effective initially but do not work over time. Hence, discharging the glandular fluid adequately is most conducive to treat the inflammation and prevent recurrence.
Drainage is a basic principle in the treatment of surgical infection. At present, the main method to drain prostate gland fluid is prostatic massage through anus (16). However, prostate massage could only passively extrude the fluid from the gland. In the presence of inflammation, squeezing the prostate is painful, making the therapy process unbearable. Furthermore, the residual inflammatory fluid with pathogens would lead to relapse of the symptoms. Patients often felt relief from their symptoms for some time, but the symptoms recurred after stopping the treatment. Compared with the traditional method, we have introduced a new method to drain prostatic fluid, replacing prostate massage through anus with perineal massage.
Unlike the traditional method, perineal massage would stimulate and maintain sex impulse so that prostate fluid would be secreted constantly and actively, and the inflammatory gland fluid would be discharged into the ejaculatory duct. When the sex impulse reached a certain level, the inflammatory gland fluid could be eliminated from the body with the intense contraction of the glandular ducts followed by ejaculation. Hence, perineal massage could secrete prostatic fluid both effectively and actively, instead of squeezing the prostate to drain the fluid passively. Furthermore, daily perineal massage for 7 consecutive days might ensure sufficient drainage of inflammatory substances in the prostate gland. According to the principles of the treatment of surgical infection, adequate drainage is critical, which might indicate the underlying mechanism of the THREM therapy for CP/CPPS.
In addition to the perineal massage, Chinese medicine enema is also an important aspect of THREM therapy. TCM plays a certain role in the treatment of prostatitis, which can activate microcirculation. Some components of TCM have effects and functions to promote blood circulation and reduce blood stasis, and may be helpful to drain the gland fluid (17). However, despite partial alleviation of the symptoms, CP/CPPS can relapse due to the differences in the method of administration, the site of action and the formula of the TCM. Moreover, deposited inflammatory gland fluid may further limit the effects of the herbs.
In THREM therapy, the ingredients of the herbs included 8 herbs: Taraxacum mongolicum Hand.-Mazz, Salvia miltiorrhiza Bunge, Coptis chinensis Franch, Phellodendron chinense Schneid, Eriobotrya japonica Thunb, Sinapis alba L., Sparganium stoloni erum, Buch.-Ham., Corydalis yanhusuo (Table S1). Taraxcum has multiple biological effects, such as anti-inflammatory, antioxidant, antibacterial, etc. (18), which contributes to the ameliorative effects on inflammation-associated diseases, including CP/CPPS. Salvia miltiorrhiza is a commonly used TCM, which promotes blood circulation. It is also the first Chinese medicine for which both a whole-genome sequence draft and a detailed genetic map have been assembled, showing that it is associated with five major secondary-metabolite pathways. Besides, it has anti-bacterial and anti-inflammatory effects (16). Moreover, Coptis chinensis Franch possesses a cytokine storm-calming property due to its isoquinoline alkaloids (19). Phellodendron chinense Schneid contains a new isoquinoline alkaloid glycoside with anti-inflammatory activity (20). Eriobotrya japonica Thunb acts on the mitogen-activated protein kinase (MAPK) pathway, transforming growth factor (TGF)-beta pathway, focal adhesion, tight junctions, and the cytoskeleton to exert anti-inflammatory effects (21). Sinapis alba L. suppresses the mRNA expression of various inflammatory mediators, including TNF-α, IL-6, and IL-1β (22). Sparganium stoloniferum Buch.-Ham., along with Corydalis yanhusuo, both exhibit extensive pharmacological effects in terms of anti-inflammatory properties. Their potential mechanism involves suppressing the NF-κB signaling pathway and promoting the resolution of inflammation (23). Furthermore, both Sparganium stoloniferum Buch.-Ham. (24,25) and Corydalis yanhusuo (26) possess analgesic properties.
Compatibility of these herbs used in THREM therapy could facilitate dissipation of inflammation and improvement of prostate metabolic ability. Retention enema was considered as a suitable mode of TCM administration to cure CP/CPPS due to the adjacent anatomical relationship of the prostate to the rectum (27). The TCM would enter the prostate through the rectal mucosa to maximize activation of blood stasis.
THREM therapy achieved satisfactory efficacy due to the combination of TCM enema and perineal massage. According to the results, all objective indicators, including IPSS, VAS and NIH-CPSI QoL, were improved after THREM therapy. Also, we used degree of improvement in subjective symptoms to allow the patients to self-evaluate the effects and 85% of the patients had an alleviation of ≥60% of the degree of the main symptoms, indicating the consistency of the subjective and objective evaluation and the reliability of the results.
Notably, this study included refractory CP/CPPS patients. All of them had tried at least four methods to treat CP/CPPS, including oral medicines, oral herbs, radiofrequency, urethral lavage, transcrectal prostate massage, etc. The mean disease course was 3.50±1.64 years, suggesting the complexity of CP/CPPS. Given the long course and ineffectiveness of the other therapies, we introduced self-control to compare the difference between the conditions before and after THREM therapy, instead of setting up a control group. Thus, according to the results, the efficacy of THREM therapy for those patients could be considered as ideal at least for 6 months.
Compared to other treatments for CP/CPPS, THREM had a much shorter treatment period and all the patients had tried at least four types of treatments without any significant improvement. The results indicated that THREM was a potential and promising method to cure refractory CP/CPPS.
However, there were several limitations in the present study and THREM therapy. Firstly, the number of cases were insufficient. Secondly, the period of follow-up was inadequate. Thirdly, THREM was a combination therapy of traditional Chinese herbs retention enema and perineal massage. In this study, we analyzed the effect of THREM as a whole instead of analyzing the individual components separately. We had conducted preliminary research and found that any procedure used separately was not as effective as combined application. Therefore, further studies should be conducted to investigate the underlying mechanism of THREM therapy. Additionally, a longer period of follow-up is also necessary for further research in future.
Conclusions
THREM therapy had a good effect on refractory CP/CPPS at least for 6 months. It could relieve both urinary tract symptoms and perineal pain, thereby satisfactorily improving the quality of life of patients. It has good clinical application prospects.
Acknowledgments
Funding: None.
Footnote
Reporting Checklist: The authors have completed the STROBE reporting checklist. Available at https://tau.amegroups.com/article/view/10.21037/tau-23-386/rc
Data Sharing Statement: Available at https://tau.amegroups.com/article/view/10.21037/tau-23-386/dss
Peer Review File: Available at https://tau.amegroups.com/article/view/10.21037/tau-23-386/prf
Conflicts of Interest: All authors have completed the ICMJE uniform disclosure form (available at https://tau.amegroups.com/article/view/10.21037/tau-23-386/coif). Z.W. is employed by Yubao Clinic, a for-profit clinic. This clinic is irrelevant to this study. The other authors have no conflicts of interest to declare.
Ethical Statement:
Open Access Statement: This is an Open Access article distributed in accordance with the Creative Commons Attribution-NonCommercial-NoDerivs 4.0 International License (CC BY-NC-ND 4.0), which permits the non-commercial replication and distribution of the article with the strict proviso that no changes or edits are made and the original work is properly cited (including links to both the formal publication through the relevant DOI and the license). See: https://creativecommons.org/licenses/by-nc-nd/4.0/.
References
- Sharp VJ, Takacs EB, Powell CR. Prostatitis: diagnosis and treatment. Am Fam Physician 2010;82:397-406. [PubMed]
- Tran CN, Shoskes DA. Sexual dysfunction in chronic prostatitis/chronic pelvic pain syndrome. World J Urol 2013;31:741-6. [Crossref] [PubMed]
- Rees J, Abrahams M, Doble A, et al. Diagnosis and treatment of chronic bacterial prostatitis and chronic prostatitis/chronic pelvic pain syndrome: a consensus guideline. BJU Int 2015;116:509-25. [Crossref] [PubMed]
- Expert team of the Andrology Branch of the Chinese Medical Association for Chronic prostatitis/chronic pelvic pain syndrome diagnosis and treatment guideline. Guidelines for the diagnosis and treatment of chronic prostatitis/chronic pelvic pain syndrome. National Journal of Andrology 2022;28:544-559.
- Zaidi N, Thomas D, Chughtai B. Management of Chronic Prostatitis (CP). Curr Urol Rep 2018;19:88. [Crossref] [PubMed]
- Franco JVA, Turk T, Jung JH, et al. Pharmacological interventions for treating chronic prostatitis/chronic pelvic pain syndrome: a Cochrane systematic review. BJU Int 2020;125:490-6. [Crossref] [PubMed]
- Wu Z, Zhang Y, Hu Q, et al. The Efficacy of Traditional Chinese Herbs Retention Enema Combined with Perineal Massage on Chronic Prostatitis/Chronic Pelvic Pain Syndrome (CP/CPPS). International Journal of Clinical and Experimental Medical Sciences 2021;7:44-9. [Crossref]
- Thakkinstian A, Attia J, Anothaisintawee T, et al. α-blockers, antibiotics and anti-inflammatories have a role in the management of chronic prostatitis/chronic pelvic pain syndrome. BJU Int 2012;110:1014-22. [Crossref] [PubMed]
- Werneburg GT, Farber N, Gotwald P, et al. Culture-independent Next Generation Sequencing of Urine and Expressed Prostatic Secretions in Men With Chronic Pelvic Pain Syndrome. Urology 2021;147:230-4. [Crossref] [PubMed]
- Murphy AB, Macejko A, Taylor A, et al. Chronic prostatitis: management strategies. Drugs 2009;69:71-84. [Crossref] [PubMed]
- Anderson RU, Nathanson BH. Pain: drug therapies for CP/CPPS: help or hype? Nat Rev Urol 2011;8:236-7. [Crossref] [PubMed]
- Nickel JC, Shoskes DA, Wagenlehner FM. Management of chronic prostatitis/chronic pelvic pain syndrome (CP/CPPS): the studies, the evidence, and the impact. World J Urol 2013;31:747-53. [Crossref] [PubMed]
- Oliveira DS, Dzinic S, Bonfil AI, et al. The mouse prostate: a basic anatomical and histological guideline. Bosn J Basic Med Sci 2016;16:8-13. [Crossref] [PubMed]
- Fitzgerald MP, Anderson RU, Potts J, et al. Randomized multicenter feasibility trial of myofascial physical therapy for the treatment of urological chronic pelvic pain syndromes. J Urol 2013;189:S75-85. [Crossref] [PubMed]
- Yavaşçaoğlu I, Oktay B, Simşek U, et al. Role of ejaculation in the treatment of chronic non-bacterial prostatitis. Int J Urol 1999;6:130-4. [Crossref] [PubMed]
- Ateya A, Fayez A, Hani R, et al. Evaluation of prostatic massage in treatment of chronic prostatitis. Urology 2006;67:674-8. [Crossref] [PubMed]
- Herati AS, Moldwin RM. Alternative therapies in the management of chronic prostatitis/chronic pelvic pain syndrome. World J Urol 2013;31:761-6. [Crossref] [PubMed]
- Hui-Juan C, Shi-Bing L, Jian-Ping L, et al. Qian lie an suppository (prostant) for chronic prostatitis: A systematic review and meta-analysis of randomized controlled trials. Medicine (Baltimore) 2019;98:e15072. [Crossref] [PubMed]
- Lan Y, Wang H, Wu J, et al. Cytokine storm-calming property of the isoquinoline alkaloids in Coptis chinensis Franch. Front Pharmacol 2022;13:973587. [Crossref] [PubMed]
- Si Y, Li X, Guo T, et al. Isolation and characterization of phellodendronoside A, a new isoquinoline alkaloid glycoside with anti-inflammatory activity from Phellodendron chinense Schneid. Fitoterapia 2021;154:105021. [Crossref] [PubMed]
- Tao J, Hou Y, Ma X, et al. An integrated global chemomics and system biology approach to analyze the mechanisms of the traditional Chinese medicinal preparation Eriobotrya japonica - Fritillaria usuriensis dropping pills for pulmonary diseases. BMC Complement Altern Med 2016;16:4. [Crossref] [PubMed]
- Xian YF, Hu Z, Ip SP, et al. Comparison of the anti-inflammatory effects of Sinapis alba and Brassica juncea in mouse models of inflammation. Phytomedicine 2018;50:196-204. [Crossref] [PubMed]
- Zou W, Gong L, Zhou F, et al. Anti-inflammatory effect of traditional Chinese medicine preparation Penyanling on pelvic inflammatory disease. J Ethnopharmacol 2021;266:113405. [Crossref] [PubMed]
- Jia J, Li X, Ren X, et al. Sparganii Rhizoma: A review of traditional clinical application, processing, phytochemistry, pharmacology, and toxicity. J Ethnopharmacol 2021;268:113571. [Crossref] [PubMed]
- Lin L, Zhou X, Gao T, et al. Herb pairs containing Curcumae Rhizoma (Ezhu): A review of bio-active constituents, compatibility effects and t-copula function analysis. J Ethnopharmacol 2024;319:117199. [Crossref] [PubMed]
- Alhassen L, Dabbous T, Ha A, et al. The Analgesic Properties of Corydalis yanhusuo. Molecules 2021;26:7498. [Crossref] [PubMed]
- Shafik A. Anal submucosal injection: a new route for drug administration. VI. Chronic prostatitis: a new modality of treatment with report of eleven cases. Urology 1991;37:61-4. [Crossref] [PubMed]

